[au]
Anna University
Department of Computer Science Engineering
Fifth Semester
CS2301 Software Engineering
(Regulation 2008)
Nov / Dec 2013 Important Questions
Unit 1
a) What is Software Process? Define the relation between process, project and product.
b) Write a short note on CMM.
c) What are the characteristics of software?
d) What is prototype model? Under what circumstances it is beneficial to construct a prototype model? Does the construction of a prototype model always increase the overall cost of software development?
e) Define software documentation. Also write its purpose, characteristics and limitations.
Unit 2
a) Define and differentiate – Measures, metrics and indicators, by an example.
b) What do you mean by system specification, requirement specification, and software specification? Explain in brief.
c) Discuss the formal specification technique.
d) What types of models are created during requirement analysis? How are they used?
e) What are the important issues which an SRS document must address?
Unit 3
a) Differentiate between analysis and design.
b) Write down the basic principles that help in navigating the design process.
c) What is modularity? List important properties of modular system. List Different types of module coupling and cohesion.
d) What is meant by software design strategies? State their importance. Also, explain various software design methods.
e) Explain the concept of software measurement. What is the difference between direct and indirect measure?
Unit 4
a) Discuss the relationship between the concept of information hiding as an attribute of effective modularity and the concept of module independence.
b) What are the components and aids of good programming style?
c) Discuss Software testing strategies. Differentiate between verifications and validation.
d) Differentiate between black-box and white-box testing.
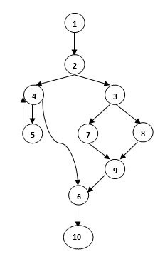
e) Find out the cyclomatic complexity of the following flow graph. Unit 5
a) Write Short note on Project Scheduling.
b) What are the major issues in staffing?
c) Discuss the software configuration management (SCM) activities.
d) What is Web Engineering? What are the attributes of Web-based applications?
e) What are risk management activities? Explain what is the effect of risk management activity on the overall cost of the project